Skip to the content
Saturday, May 30th, 2026
  • Home
  • About Us
  • Tech
  • Mobile
  • AI
  • Trending
  • Automobile
  • Contact
Breaking News
realme Buds Air8 Pro launched in India at ₹6,999 featuring dual-DAC drivers, bone conduction VPU, 55dB ANC, LHDC 5.0, Bluetooth 6.1, 50 hours playback, and more

realme Buds Air8 Pro launched in India at ₹6,999 featuring dual-DAC drivers, bone conduction VPU, 55dB ANC, LHDC 5.0, Bluetooth 6.1, 50 hours playback, and more

Poetiq’s Meta-System Automatically Builds a Model-Agnostic Harness That Improved Every LLM Tested on LiveCodeBench Pro Without Fine-Tuning

Poetiq’s Meta-System Automatically Builds a Model-Agnostic Harness That Improved Every LLM Tested on LiveCodeBench Pro Without Fine-Tuning

Force Traveller N Range Launched in India

Force Traveller N Range Launched in India

WhatsApp reportedly developing floating chat bubbles for Android users

WhatsApp reportedly developing floating chat bubbles for Android users

OpenAI Open-Sources Euphony: A Browser-Based Visualization Tool for Harmony Chat Data and Codex Session Logs

OpenAI Open-Sources Euphony: A Browser-Based Visualization Tool for Harmony Chat Data and Codex Session Logs

2026 Mercedes GLE Facelift Revealed

2026 Mercedes GLE Facelift Revealed

Shadow Lord’ season 2 confirmed

Shadow Lord’ season 2 confirmed

LAVA Bold N2 Pro 4G India launch set for March 31, key specs revealed

LAVA Bold N2 Pro 4G India launch set for March 31, key specs revealed

Agent-Infra Releases AIO Sandbox: An All-in-One Runtime for AI Agents with Browser, Shell, Shared Filesystem, and MCP

Agent-Infra Releases AIO Sandbox: An All-in-One Runtime for AI Agents with Browser, Shell, Shared Filesystem, and MCP

IShowSpeed Rudely Wakes A Snoozing Mongolian Girl On Omegle Triggering Memefest: WATCH The Viral Video

IShowSpeed Rudely Wakes A Snoozing Mongolian Girl On Omegle Triggering Memefest: WATCH The Viral Video

  • Home
  • 2026
  • January
  • 16

Day: January 16, 2026

Black Forest Labs Releases FLUX.2 [klein]: Compact Flow Models for Interactive Visual Intelligence

Black Forest Labs Releases FLUX.2 [klein]: Compact Flow Models for Interactive Visual Intelligence

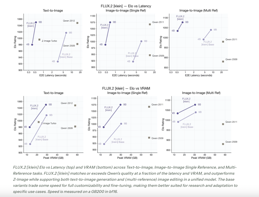
[ad_1] Black Forest Labs releases FLUX.2 [klein], a compact image model family that targets interactive visual intelligence on consumer hardware....

January 16, 2026
Mercedes EQS SUV Celebration Edition Launched In India, Priced From Rs. 1.34 Crores

Mercedes EQS SUV Celebration Edition Launched In India, Priced From Rs. 1.34 Crores

[ad_1] Mercedes-Benz India has introduced the EQS SUV Celebration Edition as its first launch of 2026. The model is available...

January 16, 2026
India Assembled Mercedes-Maybach GLS Launched, Priced At Rs. 2.75 Crores

India Assembled Mercedes-Maybach GLS Launched, Priced At Rs. 2.75 Crores

[ad_1] Locally assembled Maybach GLS introduced in India with lower pricing and unchanged specs Mercedes-Benz has introduced the locally assembled...

January 16, 2026
Mahindra Reports Over 93,000 Bookings For XUV 7XO & XEV 9S

Mahindra Reports Over 93,000 Bookings For XUV 7XO & XEV 9S

[ad_1] Mahindra logs over 93,000 bookings for XUV 7XO and XEV 9S combined Mahindra has announced that its newly launched...

January 16, 2026
How to Build a Safe, Autonomous Prior Authorization Agent for Healthcare Revenue Cycle Management with Human-in-the-Loop Controls

How to Build a Safe, Autonomous Prior Authorization Agent for Healthcare Revenue Cycle Management with Human-in-the-Loop Controls

[ad_1] def _now_iso() -> str: return datetime.utcnow().replace(microsecond=0).isoformat() + "Z" def _stable_id(prefix: str, seed: str) -> str: h = hashlib.sha256(seed.encode("utf-8")).hexdigest()[:10] return...

January 16, 2026
Google AI Releases TranslateGemma: A New Family of Open Translation Models Built on Gemma 3 with Support for 55 Languages

Google AI Releases TranslateGemma: A New Family of Open Translation Models Built on Gemma 3 with Support for 55 Languages

[ad_1] Google AI has released TranslateGemma, a suite of open machine translation models built on Gemma 3 and targeted at...

January 16, 2026
Skoda Peaq 7-Seater Electric SUV Teased

Skoda Peaq 7-Seater Electric SUV Teased

[ad_1] Skoda names its new seven-seat electric flagship ‘Peaq’, debuting in 2026 Skoda has revealed that its future all-electric seven-seat...

January 16, 2026

Latest Posts

  • realme Buds Air8 Pro launched in India at ₹6,999 featuring dual-DAC drivers, bone conduction VPU, 55dB ANC, LHDC 5.0, Bluetooth 6.1, 50 hours playback, and more
  • Poetiq’s Meta-System Automatically Builds a Model-Agnostic Harness That Improved Every LLM Tested on LiveCodeBench Pro Without Fine-Tuning
  • Force Traveller N Range Launched in India
  • WhatsApp reportedly developing floating chat bubbles for Android users
  • OpenAI Open-Sources Euphony: A Browser-Based Visualization Tool for Harmony Chat Data and Codex Session Logs
realme Buds Air8 Pro launched in India at ₹6,999 featuring dual-DAC drivers, bone conduction VPU, 55dB ANC, LHDC 5.0, Bluetooth 6.1, 50 hours playback, and more
Home

realme Buds Air8 Pro launched in India at ₹6,999 featuring dual-DAC drivers, bone conduction VPU, 55dB ANC, LHDC 5.0, Bluetooth 6.1, 50 hours playback, and more

Posted on May 25, 2026 by prakhar@affmantra.com

realme India has expanded its premium AIoT portfolio with the launch of the realme Buds Air8 Pro, th…

Poetiq’s Meta-System Automatically Builds a Model-Agnostic Harness That Improved Every LLM Tested on LiveCodeBench Pro Without Fine-Tuning
AI

Poetiq’s Meta-System Automatically Builds a Model-Agnostic Harness That Improved Every LLM Tested on LiveCodeBench Pro Without Fine-Tuning

Posted on May 15, 2026 by prakhar@affmantra.com

Poetiq has just published some very interesting results showing its Meta-System reached a new state-…

Force Traveller N Range Launched in India
Automobile

Force Traveller N Range Launched in India

Posted on May 9, 2026 by prakhar@affmantra.com

Force Motors has unveiled the new Force Traveller N Range in India, expanding its popular people-mov…

WhatsApp reportedly developing floating chat bubbles for Android users
Home

WhatsApp reportedly developing floating chat bubbles for Android users

Posted on April 27, 2026 by prakhar@affmantra.com

WhatsApp is reportedly developing support for Android’s notification bubbles feature, which could al…

OpenAI Open-Sources Euphony: A Browser-Based Visualization Tool for Harmony Chat Data and Codex Session Logs
AI

OpenAI Open-Sources Euphony: A Browser-Based Visualization Tool for Harmony Chat Data and Codex Session Logs

Posted on April 22, 2026 by prakhar@affmantra.com

Debugging an AI agent that runs for dozens of steps: reading files, calling APIs, writing code, and …

2026 Mercedes GLE Facelift Revealed
Automobile

2026 Mercedes GLE Facelift Revealed

Posted on April 7, 2026 by prakhar@affmantra.com

Mercedes has revealed the GLE facelift for 2026 and it shows you how far modern luxury SUVs have com…

  • Home
  • About Us
  • Tech
  • Mobile
  • AI
  • Trending
  • Automobile
  • Contact
Copyright © 2026 . All rights reserved.Theme: NewsNation By WPInterface. Powered by WordPress.